Предмет: Алгебра,
автор: fdkljgtgtjljl
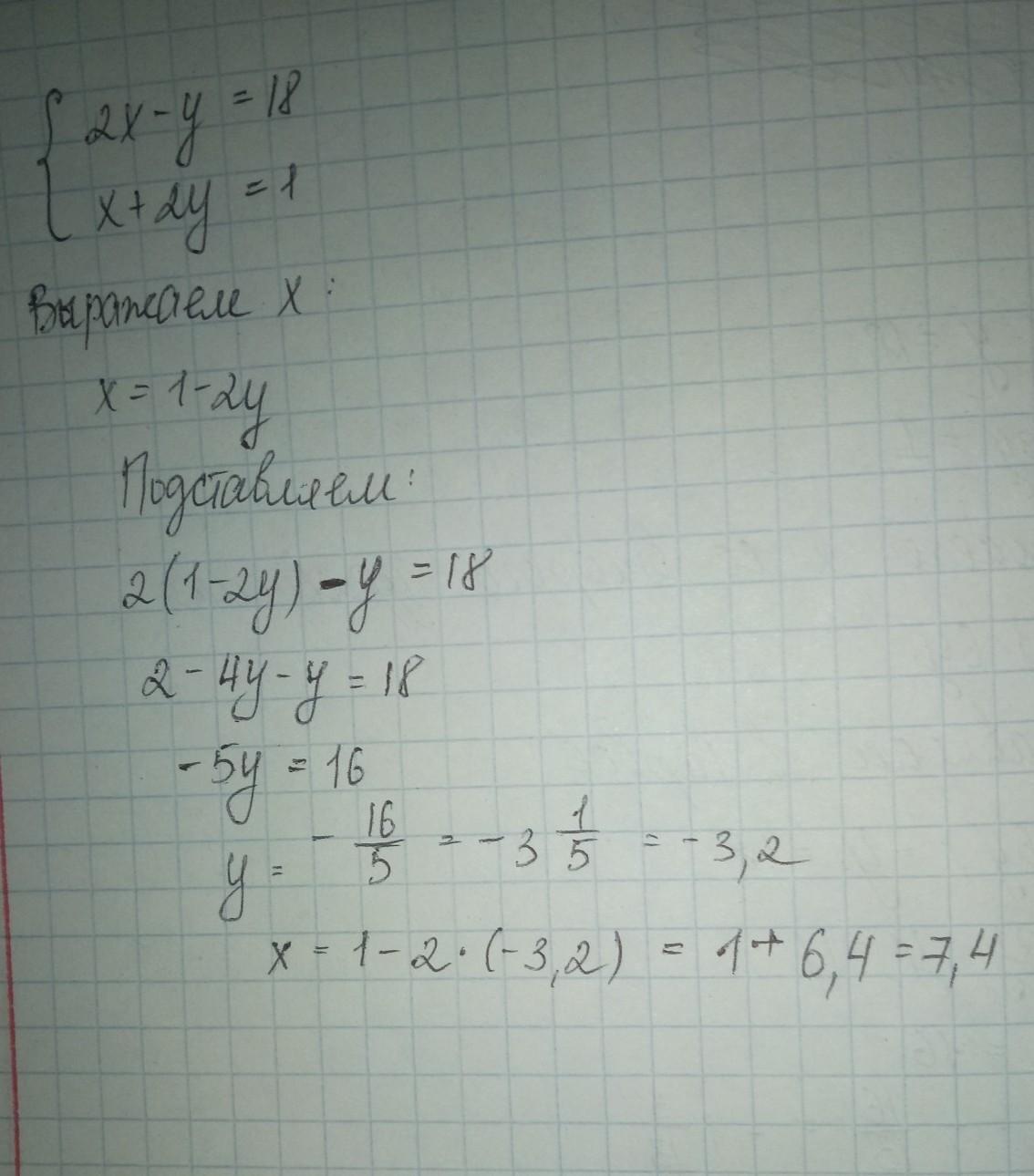
решите систему уравнений
2х-у=18
х+2у=1
Ответы
Автор ответа:
3
Ответ: х=7.4; у=-3.2
(фото)
Приложения:
fdkljgtgtjljl:
спасибки)
Автор ответа:
0
Решение задания приложено
Приложения:
Похожие вопросы
Предмет: Математика,
автор: nikitalite687
Предмет: Математика,
автор: aaaabbbbnnnnmm
Предмет: Алгебра,
автор: rizevskaliza
Предмет: Литература,
автор: Аноним
Предмет: Математика,
автор: BandiOne