Предмет: Математика,
автор: Фази
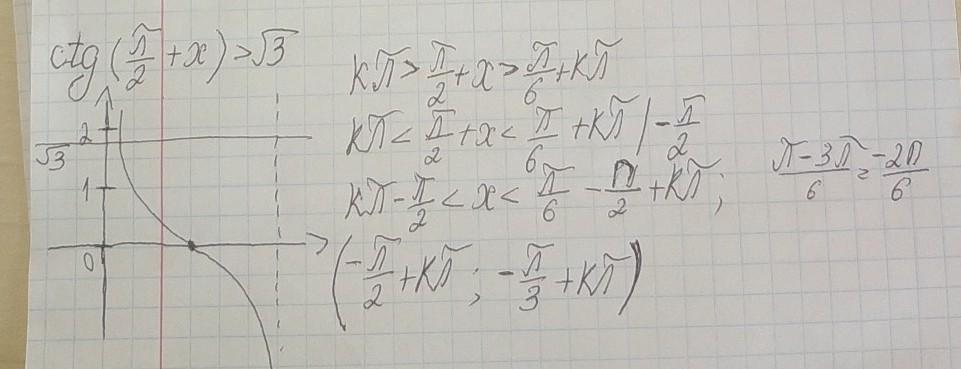
Погомогите решить пример ctg(п/2+х)>корень из 3
(Желатьльно с коротеньким объяснением)
Ответы
Автор ответа:
1
Ответ:
..........................
Приложения:
Похожие вопросы
Предмет: Информатика,
автор: nemorika
Предмет: Қазақ тiлi,
автор: tursynajzere60
Предмет: Английский язык,
автор: lenivtseva09
Предмет: История,
автор: anastasiyakudry1
Предмет: История,
автор: roza4евер