Предмет: Математика,
автор: Viktoria1289
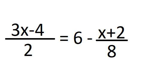
Решите уравнение!!!
Приложения:
Ответы
Автор ответа:
0
Ответ:
4(3x-4)=48-(x+2);
12x-16=48-x-2;
12x+x=48-2+16;
13x=62;|:13
x=
или
Автор ответа:
0
Ответ:
Пошаговое объяснение:
Приложения:
Похожие вопросы
Предмет: Математика,
автор: Аноним
Предмет: Литература,
автор: lilicatri279
Предмет: Қазақ тiлi,
автор: arifazulufogly
Предмет: Литература,
автор: Diana200321
Предмет: Математика,
автор: Аноним