Предмет: Математика,
автор: toximon
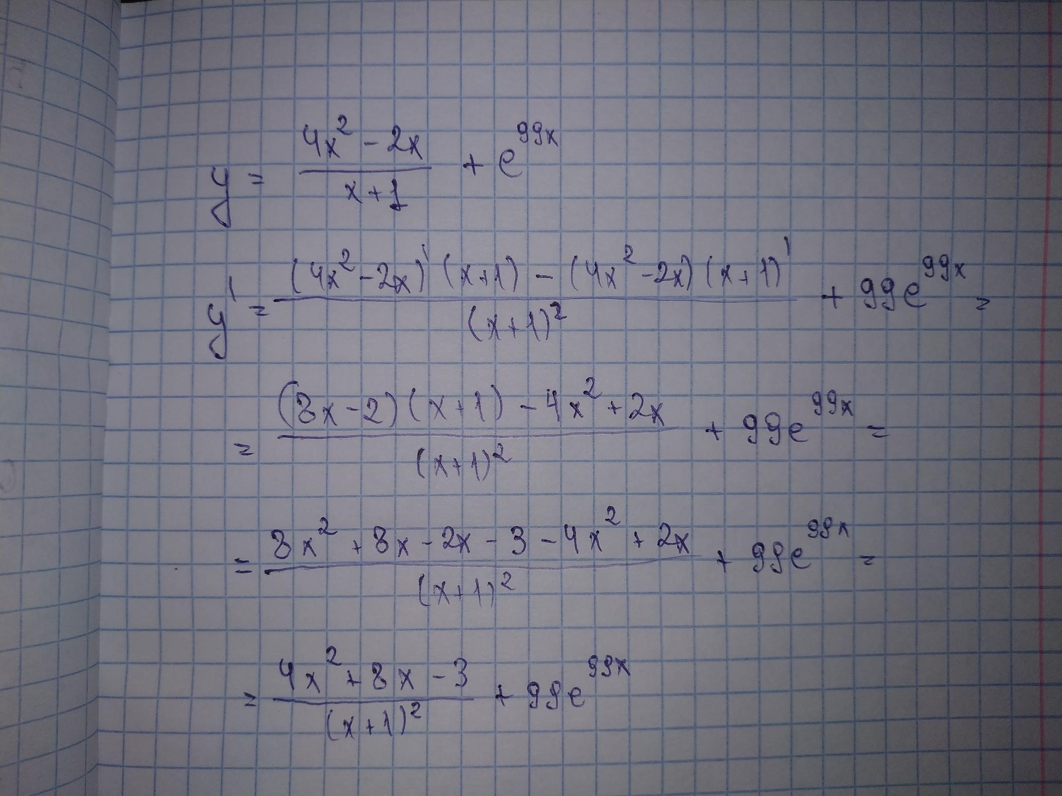
y = 4x^2-2x/x+1 + e^99x памагити с производной, тут все что до експаненты - ето дробь
Ответы
Автор ответа:
0
//////////////////////////////
Приложения:
Автор ответа:
0
Будем использовать формулу eⁿˣ= neˣ и производной дроби
(u/v)'=(u'v-uv')/v²
y'=((4x²-2x)/(x+1) + e⁹⁹ˣ )'=((8х-2)*(х+1)-1*(4х²-2х))/(х+1)²+99е⁹⁹ˣ=
(8х²+8х-2х-2-4х²+2х)/(х+1)²+99е⁹⁹ˣ=(4х²+8х-2)/(х+1)²+99е⁹⁹ˣ
Ответ (4х²+8х-2)/(х+1)²+99е⁹⁹ˣ
Похожие вопросы
Предмет: Математика,
автор: kmalaStefa
Предмет: Математика,
автор: wwqlvx17
Предмет: Английский язык,
автор: zaikovalex20
Предмет: Математика,
автор: арина4398