Предмет: Математика,
автор: Men333too
пліззззз :(((( Зайди і допоможи))))Обчислити визначений інтеграл!!!!
Приложения:
Ответы
Автор ответа:
1
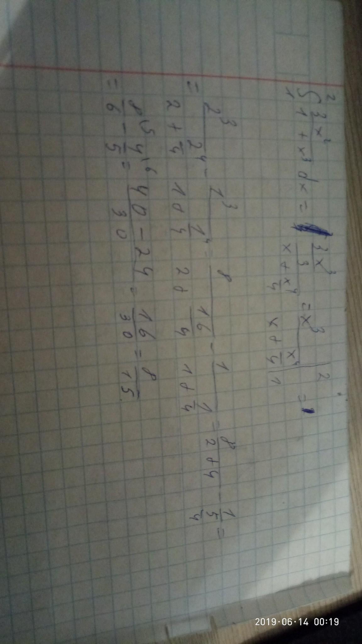
Вот решение интеграла
Приложения:
Похожие вопросы
Предмет: Музыка,
автор: nastya45625
Предмет: Обществознание,
автор: bagatik
Предмет: Қазақ тiлi,
автор: musinads87
Предмет: Физика,
автор: asyakoval2004
Предмет: Литература,
автор: marina779