Предмет: Алгебра,
автор: regt53
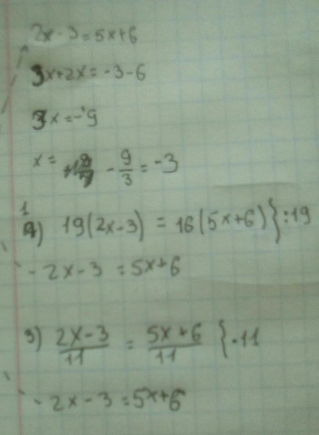
среди данных уравнений укажите те, которые имеют тот же корень что у 2х-3=5х+6: 1)19(2х-3)=19(5х+6) 2)5х-2х=6-3 3)2х-3/11=5х+6/11 найди корень
Ответы
Автор ответа:
1
Ответ: 1,3.
Х=-3
Пошаговое объяснение: второе фото. Первое неправильно
Приложения:
Похожие вопросы
Предмет: География,
автор: glossymessmer13
Предмет: Математика,
автор: gorovenkostefania
Предмет: Информатика,
автор: nemorika
Предмет: Обществознание,
автор: Ale9020
Предмет: Литература,
автор: igorekkazakov