Предмет: Алгебра, автор: sprausprau1

f(x) 2x+5/x^2 Найти производную. 2x+5 - числитель, а X^2 - знаменатель


Banabanana: 2х в числителе дроби или это 2х + дробь?
WhatYouNeed: укажите числитель дроби: (2x+5) или 5
sprausprau1: 2x+5 это числитесь, а x^2 это знаменатель

Ответы

Автор ответа: WhatYouNeed
0

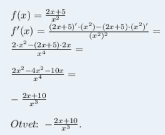
f(x)=\frac{2x+5}{x^2}\\f'(x)=\frac{(2x+5)'\cdot (x^2)-(2x+5)\cdot (x^2)'}{(x^2)^2}=\\\frac{2\cdot x^2-(2x+5)\cdot 2x}{x^4}=\\\\\frac{2x^2-4x^2-10x}{x^4}=\\\\-\frac{2x+10}{x^3}\\\\Otvet\!\!:\;-\frac{2x+10}{x^3}.

Приложения:

sprausprau1: А можете на листочке написать и залить, не могу просто понять как это записывать, за ранее огромное спасибо
WhatYouNeed: что именно записывать? это дроби пишите числитель и знаменатель, штрих сверху это знак взятия производной
sprausprau1: я не могу понять того что вы написали, можно дать ответ как-то более нормально?
WhatYouNeed: Не всегда прогружается, сейчас добавлю.
sprausprau1: Если вы изменили, то ничего не поменялось, все так же как и было
Banabanana: Смотрите внимательно... помимо решения теперь есть еще и фото...
sprausprau1: всё ,спасибо вам огромное, прогрузило, извините за то что так много текста, но все же огромное спасибо вам
Banabanana: Не мне спасибо, а автору решения. Успехов)
Похожие вопросы