Предмет: Химия,
автор: 1998nikZe
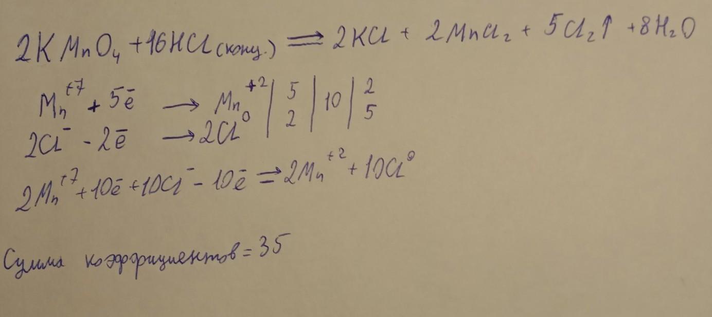
Перетворіть схему на рівняння реакції, коефіцієнти підберіть методом електронного балансу та вкажіть суму всіх коефіціентів у рівнянні:
KMn04+HCl(конц.)⇒KCl+MnCl2+Cl2↑+H20
Ответы
Автор ответа:
1
Решение представлено на фотографии.
Забыл указать:
KMnO4 - окислитель (за счёт Mn+7)
HCl - восстановитель (за счёт Cl-)
Приложения:
Автор ответа:
1
Ответ:
KMnO4+HCl ⇒KCl+MnCl2+Cl2+H2O
Mn⁺⁷ + 5ē -> Mn⁺² - окислитель
, восстановление
Cl⁻¹ - 1ē -> Cl⁰ - восстановитель
,окисление
2KMnO₄ +16 HCl = 2 MnCl₂ + 5 Cl₂ + 2 KCl+ 8 H₂O
Сумма коэффицентов : 2+16+2+5+2+8 = 35
Похожие вопросы
Предмет: Английский язык,
автор: BurBonMetro
Предмет: Биология,
автор: denvolosok
Предмет: Английский язык,
автор: radcukliza2
Предмет: Математика,
автор: Evgenii100
Предмет: Алгебра,
автор: sam5658