Предмет: Математика,
автор: dennyskaoya6o5
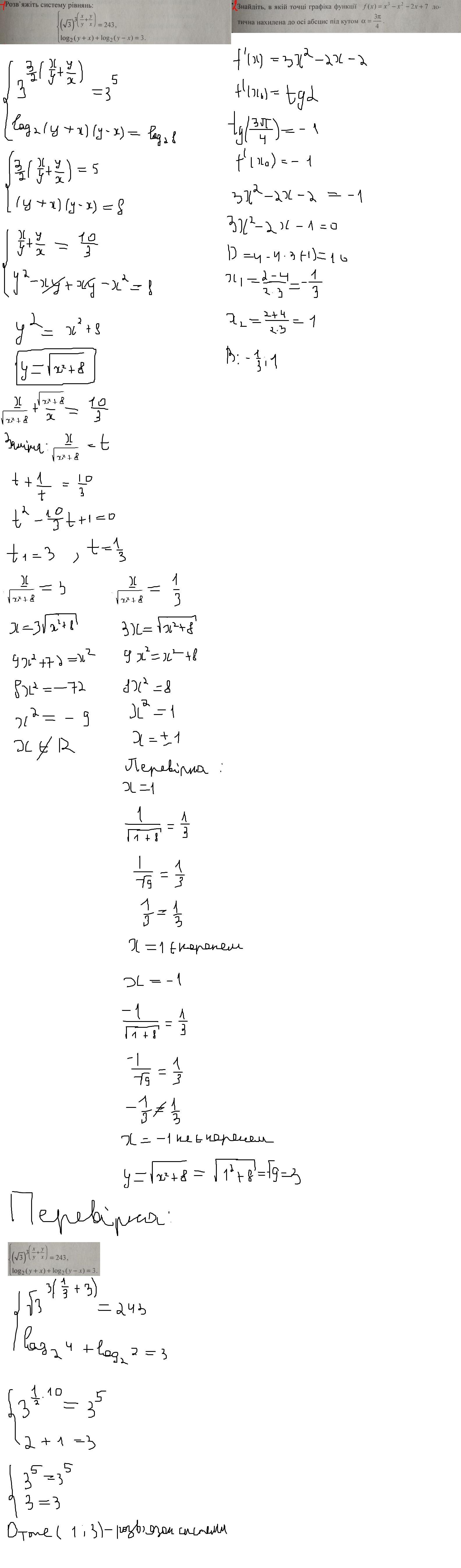
Допоможіть будь ласка!
Приложения:
dennyskaoya6o5:
Дякую дуж
дякую дуже
Ответы
Автор ответа:
0
Ответ:
Пошаговое объяснение:
вот
Приложения:
Дякую
Похожие вопросы
Предмет: Химия,
автор: nicewh2007
Предмет: Алгебра,
автор: golovkinasofa
Предмет: Алгебра,
автор: sonatimkiv125
Предмет: Математика,
автор: 20070807
Предмет: Математика,
автор: Alinenok11