Предмет: Математика,
автор: vedenie
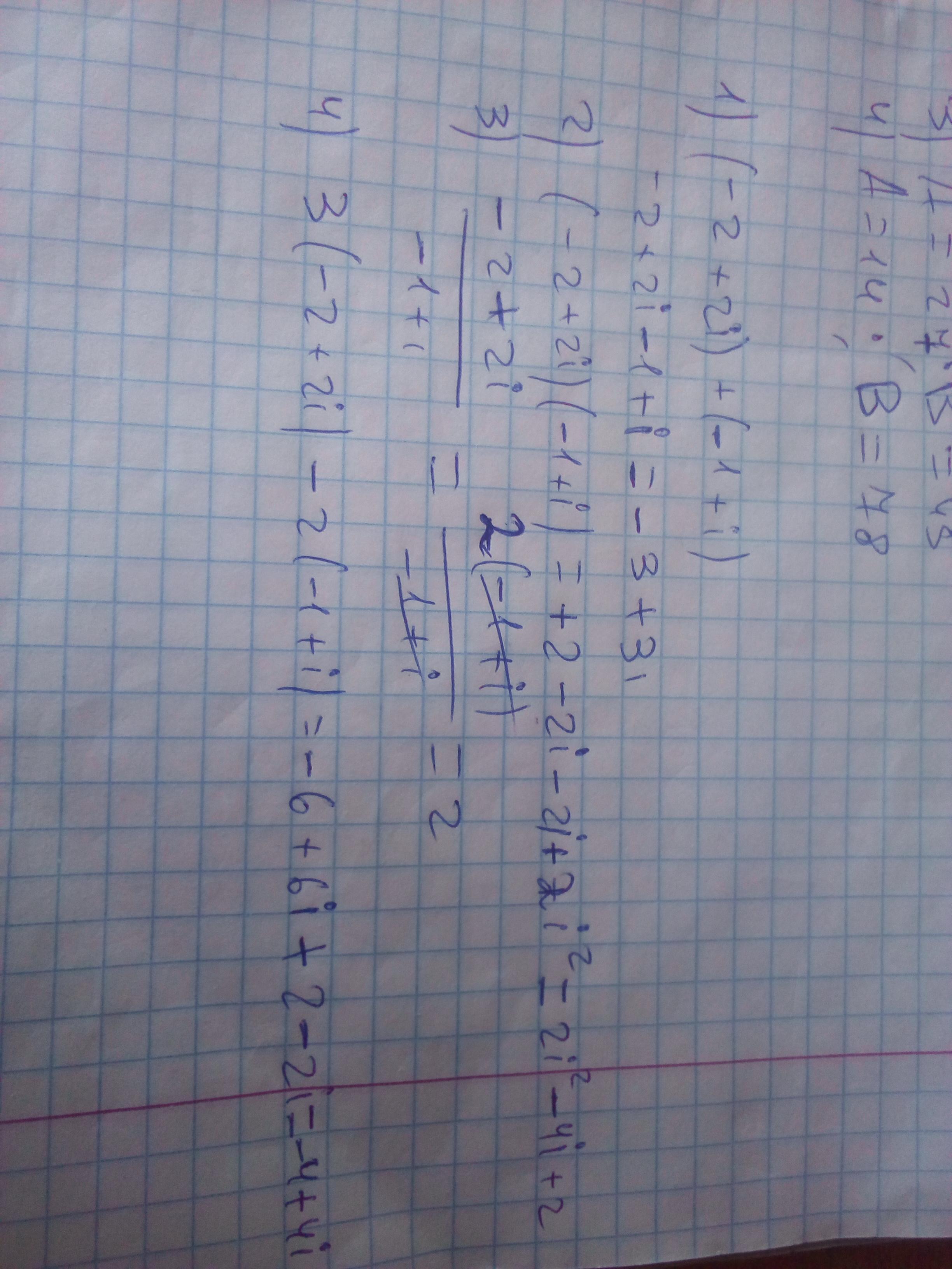
Дано: а= -2+2i b=-1+i.
Вычислите
а) сумму чисел а и b;
б) произведение чисел а и b;
в) частное чисел а и b,
г) 3а-2b.
Ответы
Автор ответа:
0
Ответ:
Пошаговое объяснение:
Приложения:
Похожие вопросы
Предмет: Математика,
автор: ssliwwk
Предмет: Биология,
автор: poli16155
Предмет: Українська мова,
автор: panbogdan228
Предмет: Математика,
автор: ikaseevich