Предмет: Алгебра,
автор: vovi44444
Помогите кто чем может!
Приложения:
Ответы
Автор ответа:
0
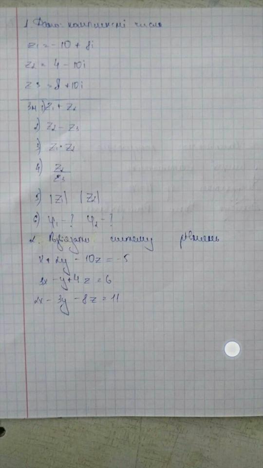
1. 1) z1+z2=-10+8i+4-10i=-6-2i
2) z2-z3=4-10i-(8+10i)=-4-20i
3) =-40+100i+32i+80=40+132i
4) =(4-10i)(8-10i)/(8+10i)(8-10i)=
(32-40i-80i+100)/(64+100)=≈ 0.80-0.73i
5) |z1|=√((-10)²+(8²))=√164, |z2|= √((4)²+(-10)²)=√116 ; |z1|*|z2|=≈ 138
6) tgф1=8/(-10)=-0.8, ф1=≈180-39°= 141°
tgф2=-40, ф2=≈-89°
Похожие вопросы
Предмет: Алгебра,
автор: ellina32
Предмет: География,
автор: sergijkomaksim
Предмет: Математика,
автор: sinyakovada
Предмет: Биология,
автор: Аноним
Предмет: Математика,
автор: kitti33333331