Предмет: Алгебра,
автор: egorovalizachif
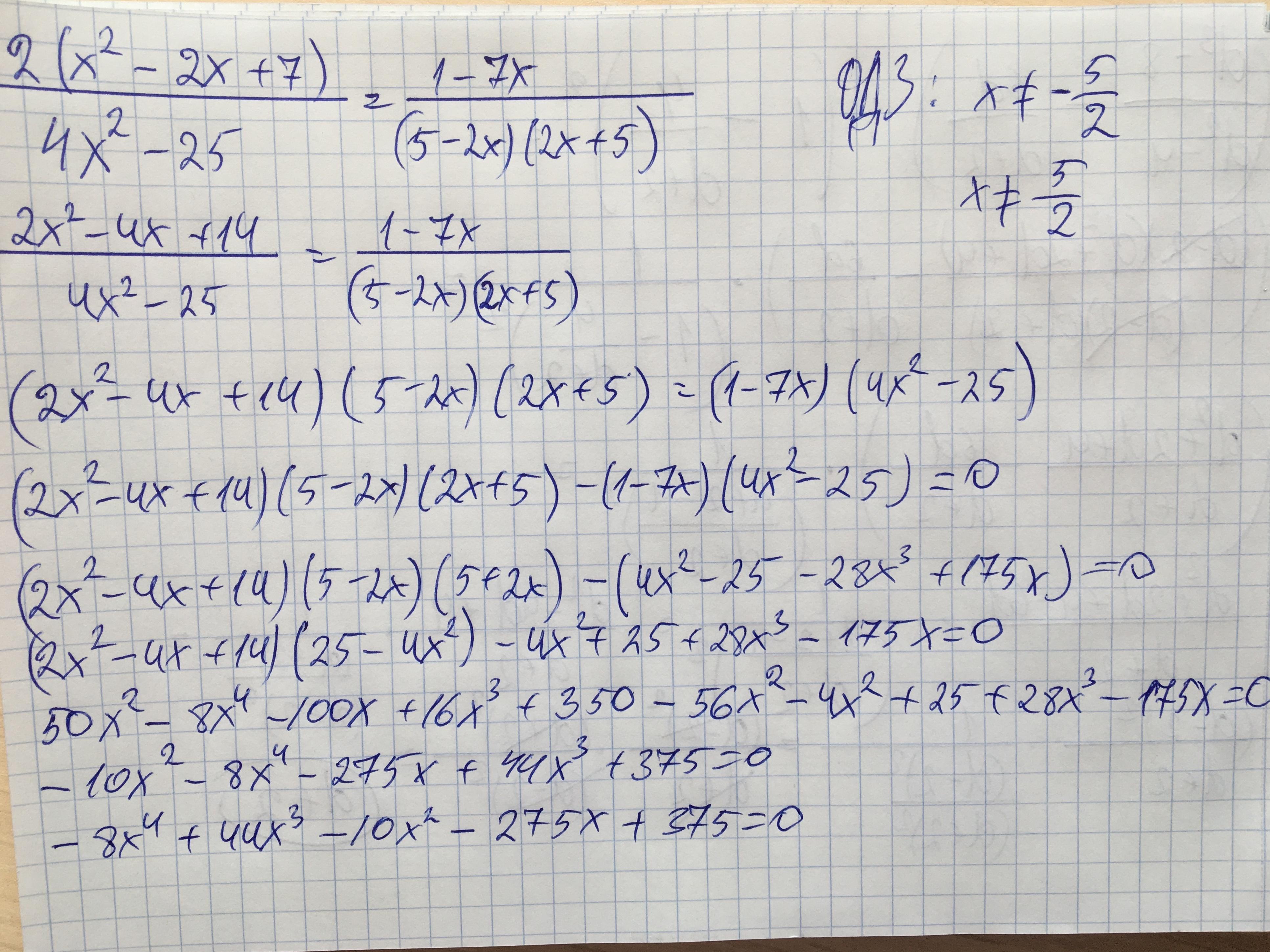
Помогите пожалуйста!!!!!!!!!!!! Дам много баллов!
Приложения:
Ответы
Автор ответа:
1
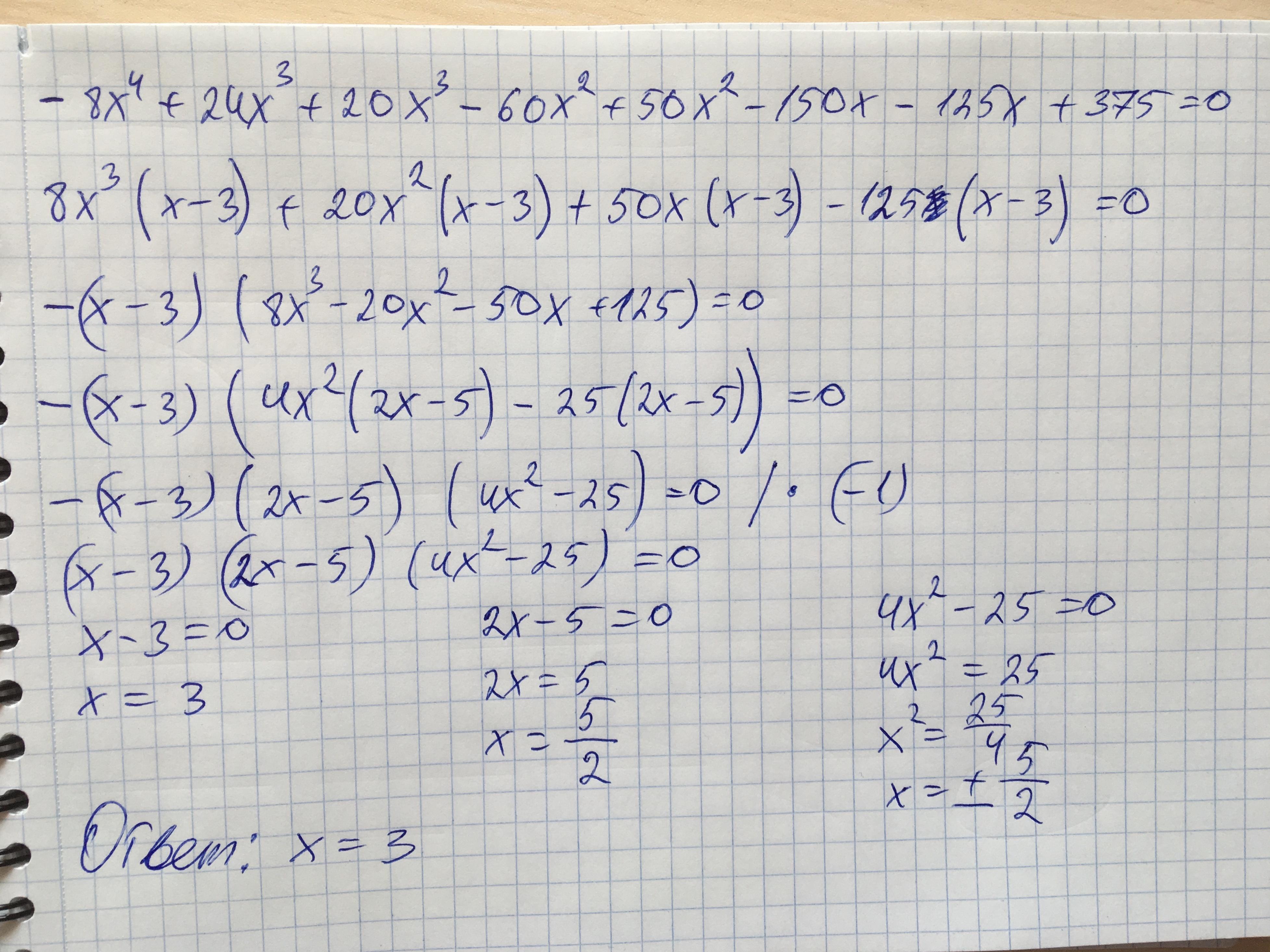
Ответ:во вложении
Объяснение:
Приложения:
egorovalizachif:
Спасибо большое!!!
Похожие вопросы
Предмет: Английский язык,
автор: bruh48
Предмет: География,
автор: anestsaaa
Предмет: Українська література,
автор: lizadp
Предмет: История,
автор: Аноним
Предмет: Математика,
автор: биг09