Предмет: Математика,
автор: sanya2367
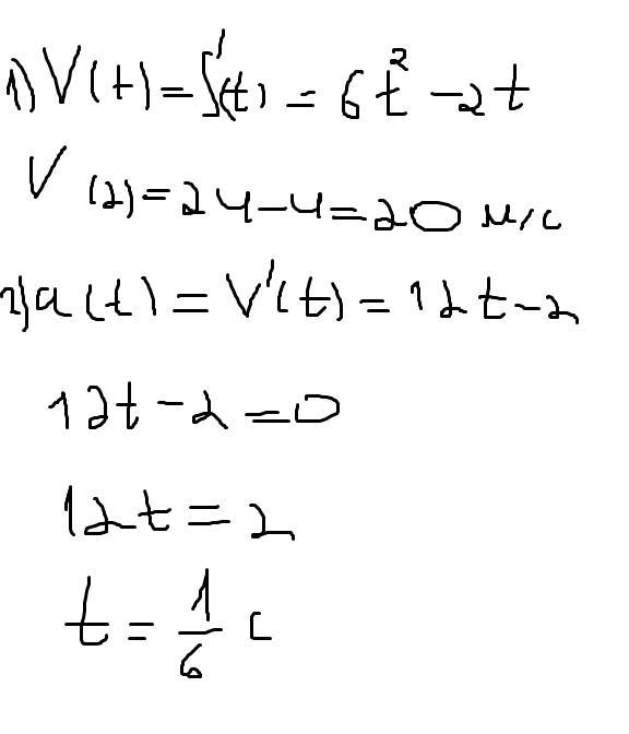
Тело движется по закону
(M.)
Найти скорость тела в момент времени 2 сек. и время, при котором ускорение тела будет равно нулю.
Ответы
Автор ответа:
1
Ответ:
Пошаговое объяснение:
вот
Приложения:
Похожие вопросы
Предмет: Математика,
автор: yahontushka
Предмет: Обществознание,
автор: nastya2022334
Предмет: Литература,
автор: w3r0t1
Предмет: Литература,
автор: Аноним
Предмет: Математика,
автор: flynida