Предмет: Математика,
автор: semchenkoili
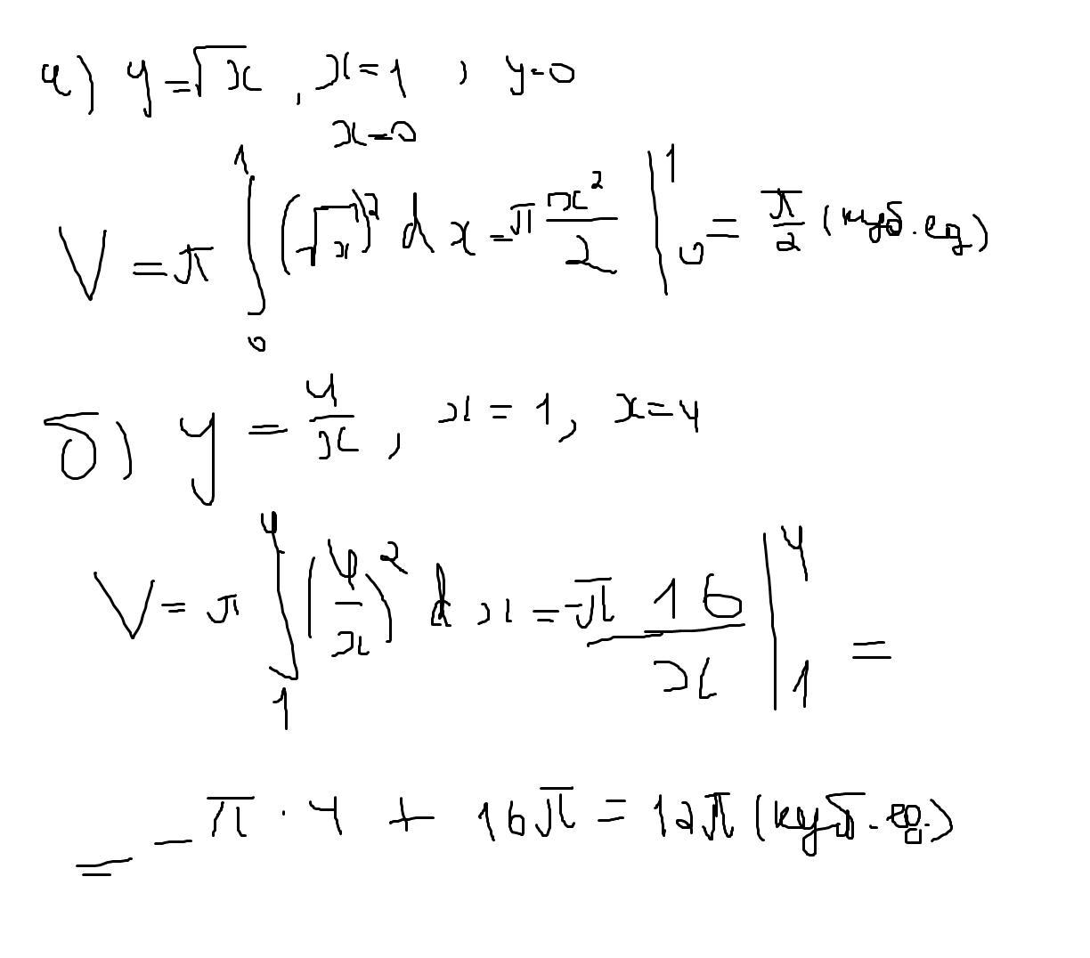
Найдите объем тела, полученного при вращении фигуры, ограниченной линиями:
Приложения:
Ответы
Автор ответа:
1
Ответ:
Пошаговое объяснение:
вот
Приложения:
Автор ответа:
0
4.а) π*∫(√х)²дх=(πх²/2)в пределах от нуля до 1, по формуле Ньютона -Лейбница этот интеграл равен π/2-0=π/2/ед.куб./
б) π*∫(4/х)²дх=-16π/х, в пределах от 1 до 4, по формуле Ньютона- Лейбница он равен -4π+16π=12π/ед. куб./
Похожие вопросы
Предмет: Математика,
автор: vadime220283
Предмет: Русский язык,
автор: tmoltusova
Предмет: Английский язык,
автор: SofytaStar1905
Предмет: Математика,
автор: злая0училка