Предмет: Математика,
автор: MagistrLp
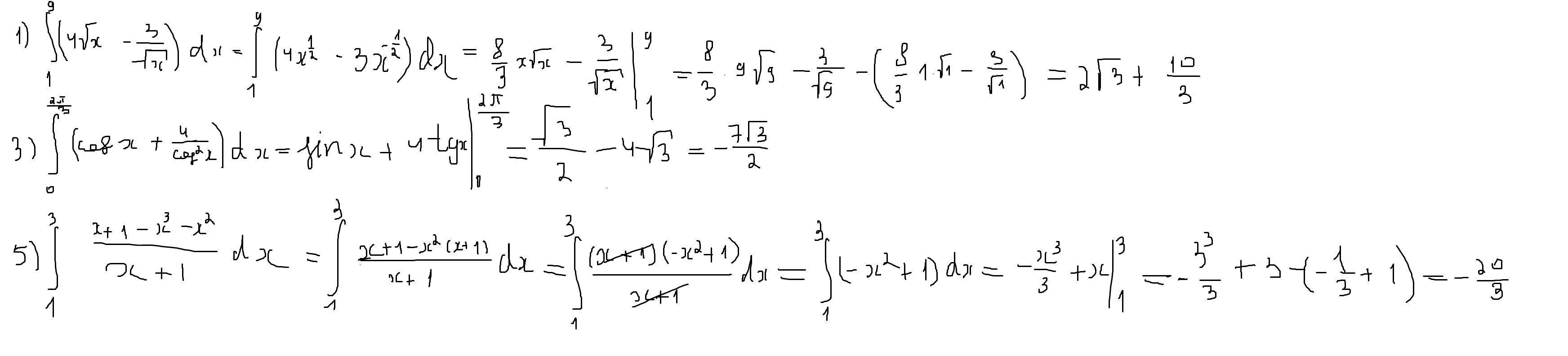
Нужно 1 3 5 Желательно на листе расписать решение
Приложения:
Ответы
Автор ответа:
0
Ответ:
Пошаговое объяснение:
ВОТ
Приложения:
MagistrLp:
Спасибо )
Похожие вопросы
Предмет: Английский язык,
автор: nghghghg
Предмет: Алгебра,
автор: kentspike124
Предмет: Математика,
автор: nikitavol444
Предмет: История,
автор: Miniкотик