Предмет: Математика,
автор: bzhaletov
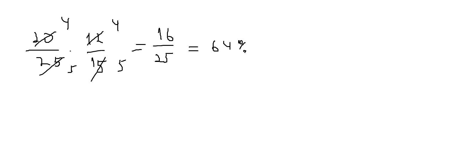
Студент знает 20 из 25 вопросов по первому разделу курса и 12 из 15 вопросов по второму разделу курса.
На экзамене ему случайном оброзом предлагается по одному вопросу из каждого раздела курса какова вероятность того что студент ответит правильно
Ответы
Автор ответа:
0
Ответ:
Пошаговое объяснение:
вот
Приложения:
Похожие вопросы
Предмет: Химия,
автор: flowflowz4556
Предмет: Литература,
автор: vanaobuhod
Предмет: Українська мова,
автор: crubsage
Предмет: История,
автор: головноймозгномер1
Предмет: Математика,
автор: Rovsh