Предмет: Математика,
автор: svitlanademchuk1803
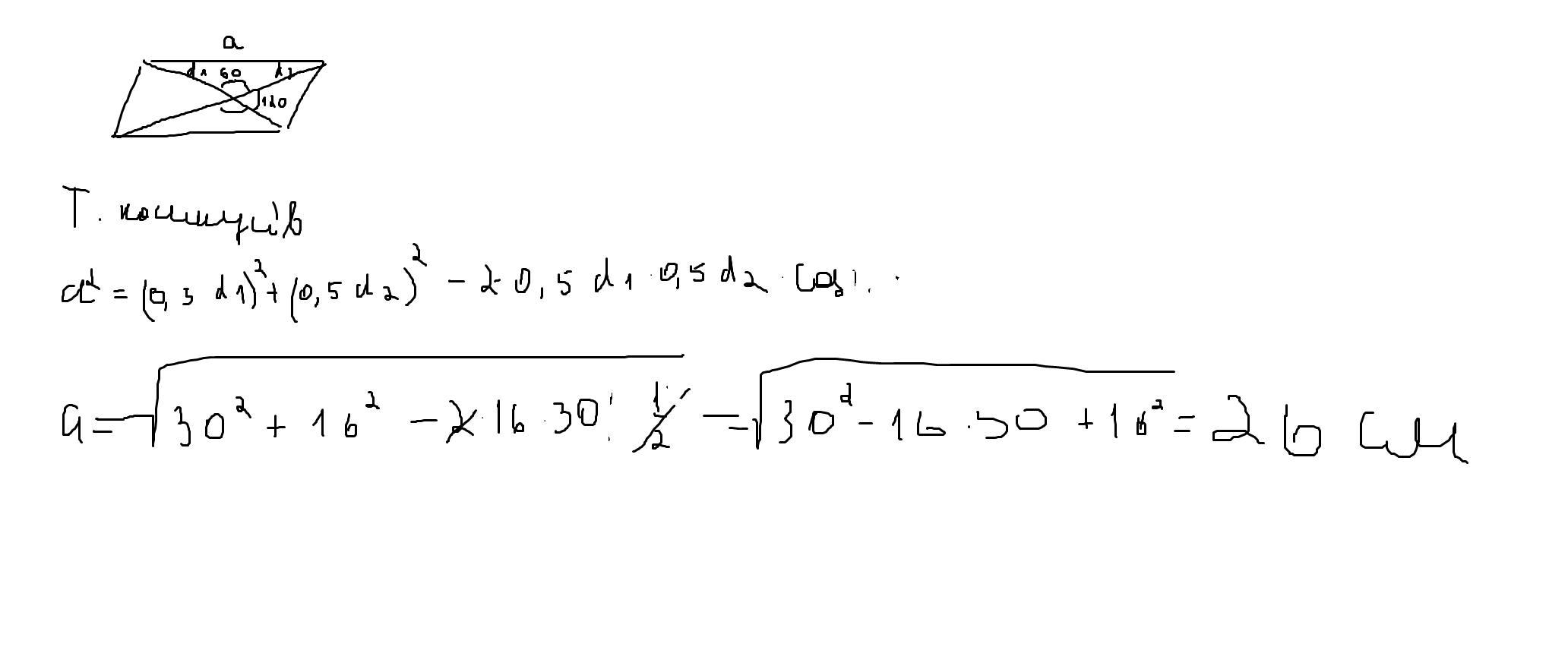
кут між діагоналями паралелограма дорівнює 120 градусів а його діагоналі 60 см і 32 см знайдіть меньшу сторону паралелограма
Ответы
Автор ответа:
0
Ответ:
26
Пошаговое объяснение:
За теоремою косинусів визначаємо 3 невідому сторону
Приложения:
Похожие вопросы
Предмет: Математика,
автор: Julia0282
Предмет: Информатика,
автор: stepanowa333
Предмет: История,
автор: beranika2020
Предмет: История,
автор: Анимекотик
Предмет: Математика,
автор: ирина7791