Предмет: Алгебра,
автор: jasjassam
срочно решение!!!!!!
Приложения:
Ответы
Автор ответа:
0
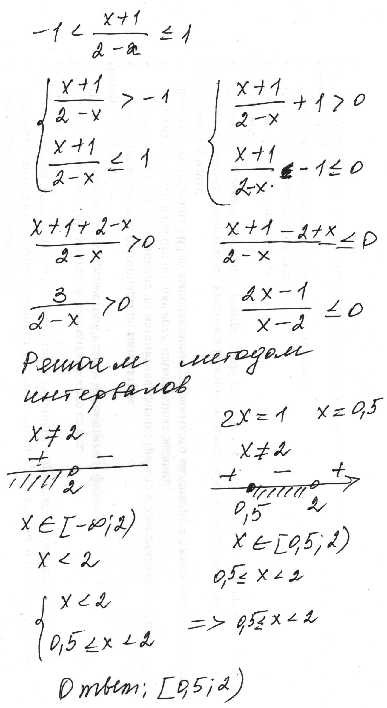
Ответ:
0,5<2
Объяснение:
Приложения:
Похожие вопросы
Предмет: Литература,
автор: 1234560809
Предмет: Биология,
автор: Аноним
Предмет: Математика,
автор: Аноним
Предмет: Химия,
автор: limon4ik7
Предмет: Биология,
автор: Anonimuse