Предмет: Алгебра,
автор: aidar1604
Решите пожалуйста срочно нужно
Приложения:
Ответы
Автор ответа:
0
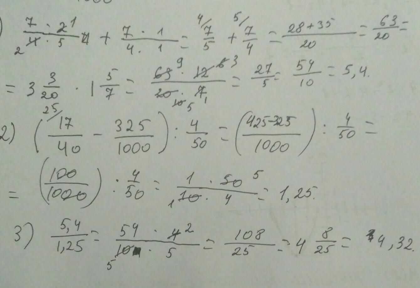
Ответ:
на картинке все решение м ответ
Приложения:
Похожие вопросы
Предмет: Українська мова,
автор: volodyaoliynik
Предмет: Українська мова,
автор: karinakits31
Предмет: Геометрия,
автор: paliyhuk2007
Предмет: Математика,
автор: ow4innikowadar
Предмет: Литература,
автор: ruslanovnur