Предмет: Алгебра,
автор: lihmanalena
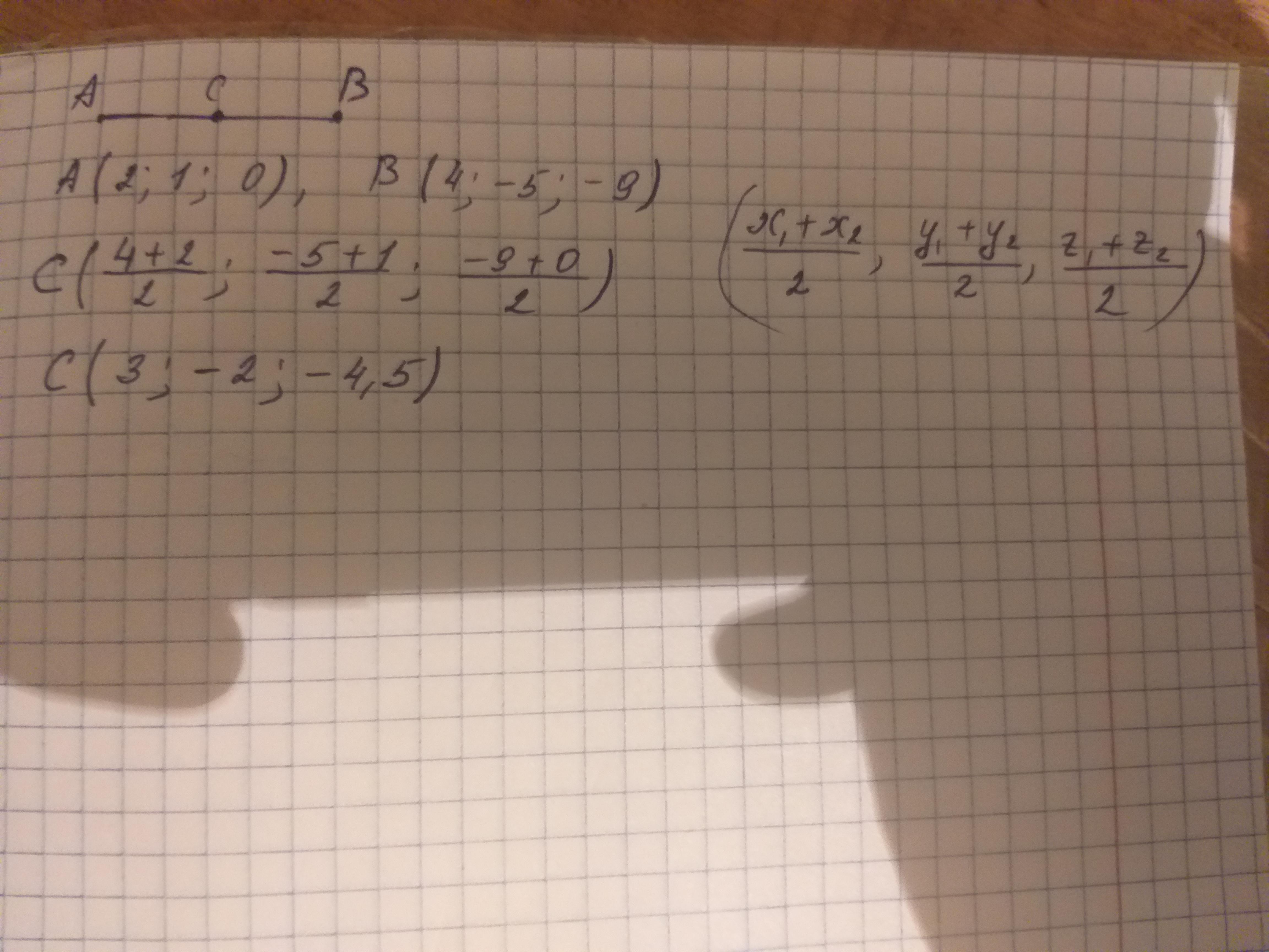
найти координаты точки С- середины отрезка, заданного точками А(2,1,0) и B(4,-5,-9)
Ответы
Автор ответа:
0
Ответ:
Ответ внизу на фото
Объяснение:
Приложения:
Похожие вопросы
Предмет: Алгебра,
автор: bs30kartempidr
Предмет: Математика,
автор: sasabrindak
Предмет: Українська мова,
автор: galaxyprojectwork
Предмет: Математика,
автор: Ксения7771117