Предмет: Алгебра,
автор: larkova16
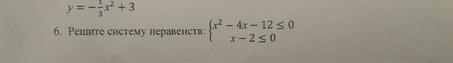
помогите пожалуйста решить!
Приложения:
Ответы
Автор ответа:
0
Ответ:
Объяснение:
Ответ ниже
larkova16:
??
Похожие вопросы
Предмет: Математика,
автор: d0riaaaa4
Предмет: Литература,
автор: novickaaaleksandra23
Предмет: Биология,
автор: bogdandinisuk690
Предмет: Алгебра,
автор: класс99
Предмет: Математика,
автор: NASTYACHERNOVA578