Предмет: Алгебра, автор: sashabogdanov2004

Помогите решить уравнения, даю 15 баллов

Приложения:

Ответы

Автор ответа: miron2077
0

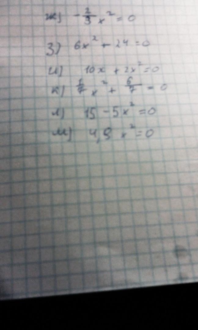
-2х²/3=0    х=0

6х²-24=0 ⇒   х²=24/6 ⇒  х²=4        х₁=2      х₂=-2

10х+2х²=0   ⇒   2х(5+х)=0         х₁=0      х₂= -5

х²/7+6/7=0   ⇒  х²/7=-6/7   корней нет, квадрат всегда ≥0

15-5х²=0  ⇒  5х²=15      х²=3      х₁=√3      х₂=-√3

4,9х²=0   х=0

Автор ответа: pustotvo1
0

Ответ:ж) 0

З) 2

И)-2

К)-корень 6

Л корень 3

Объяснение:

Похожие вопросы
Предмет: Биология, автор: ivannabalbuza32
Предмет: Алгебра, автор: simonovvrita
Предмет: Математика, автор: ник3037