Предмет: Алгебра,
автор: AskhatErkenov
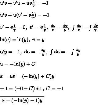
Срочно. Решить дифференциальное уравнение с общим решением xdy-ydx=ydy
Ответы
Автор ответа:
1
Ответ:
вот вот ответ ответ вот
Объяснение:
Приложения:
AskhatErkenov:
Этот ответ с частным решением
Похожие вопросы
Предмет: Алгебра,
автор: bejsenbaevazansaa031
Предмет: Другие предметы,
автор: sergeykrivulin8810
Предмет: Английский язык,
автор: khartasov
Предмет: Математика,
автор: artem2003g1