Предмет: Математика,
автор: MisterDox
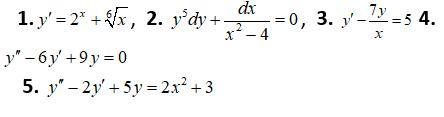
помогите с дифференциальными уравнениями
Приложения:
Ответы
Автор ответа:
3
Посмотрите вариант решения для трёх заданий.
Приложения:
Похожие вопросы
Предмет: Английский язык,
автор: likakozume716
Предмет: Алгебра,
автор: nastyplus100500
Предмет: Русский язык,
автор: sasakolomoec02
Предмет: Алгебра,
автор: Шоколадка112
Предмет: География,
автор: настяхих