Предмет: Математика,
автор: annikishina2011
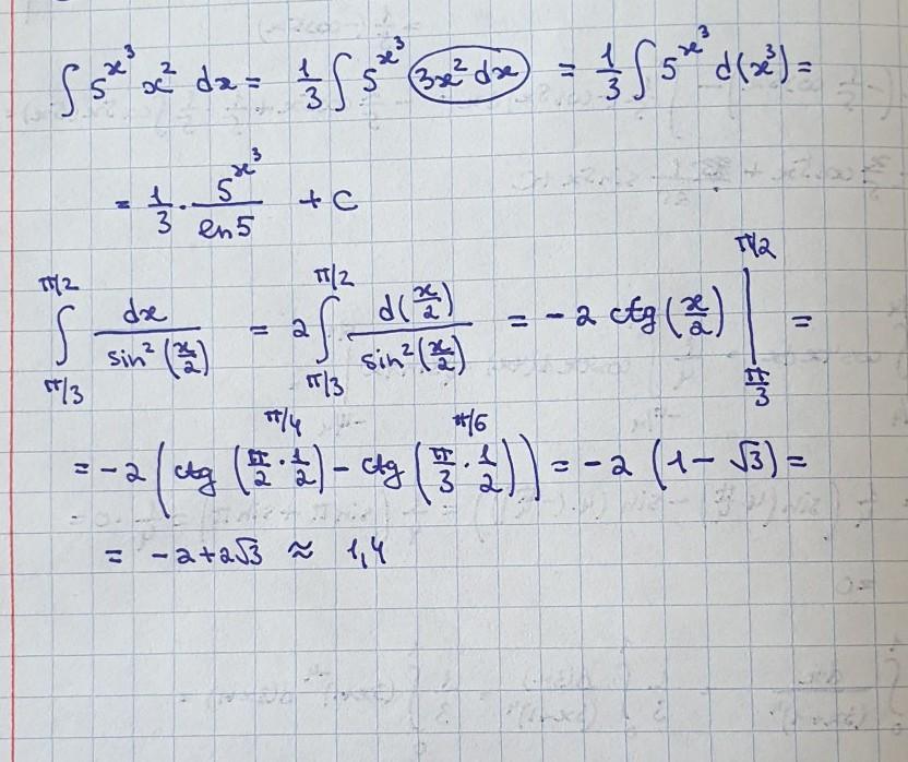
решить интегралы, неопределенный и определенный
Приложения:
Ответы
Автор ответа:
0
Ответ:
решение на фотографии
Приложения:
Похожие вопросы
Предмет: Українська мова,
автор: vihopensofijka
Предмет: Українська мова,
автор: alexkuchererenko2005
Предмет: Русский язык,
автор: AllIcouldseewasfog
Предмет: Математика,
автор: sypejfjdmdkdks
Предмет: Математика,
автор: Crystallyna