Предмет: Математика,
автор: 191polina
2.3 пожалуйста
Только не калькулятором (так я решила , надо математическим способом)
Приложения:
Ответы
Автор ответа:
0
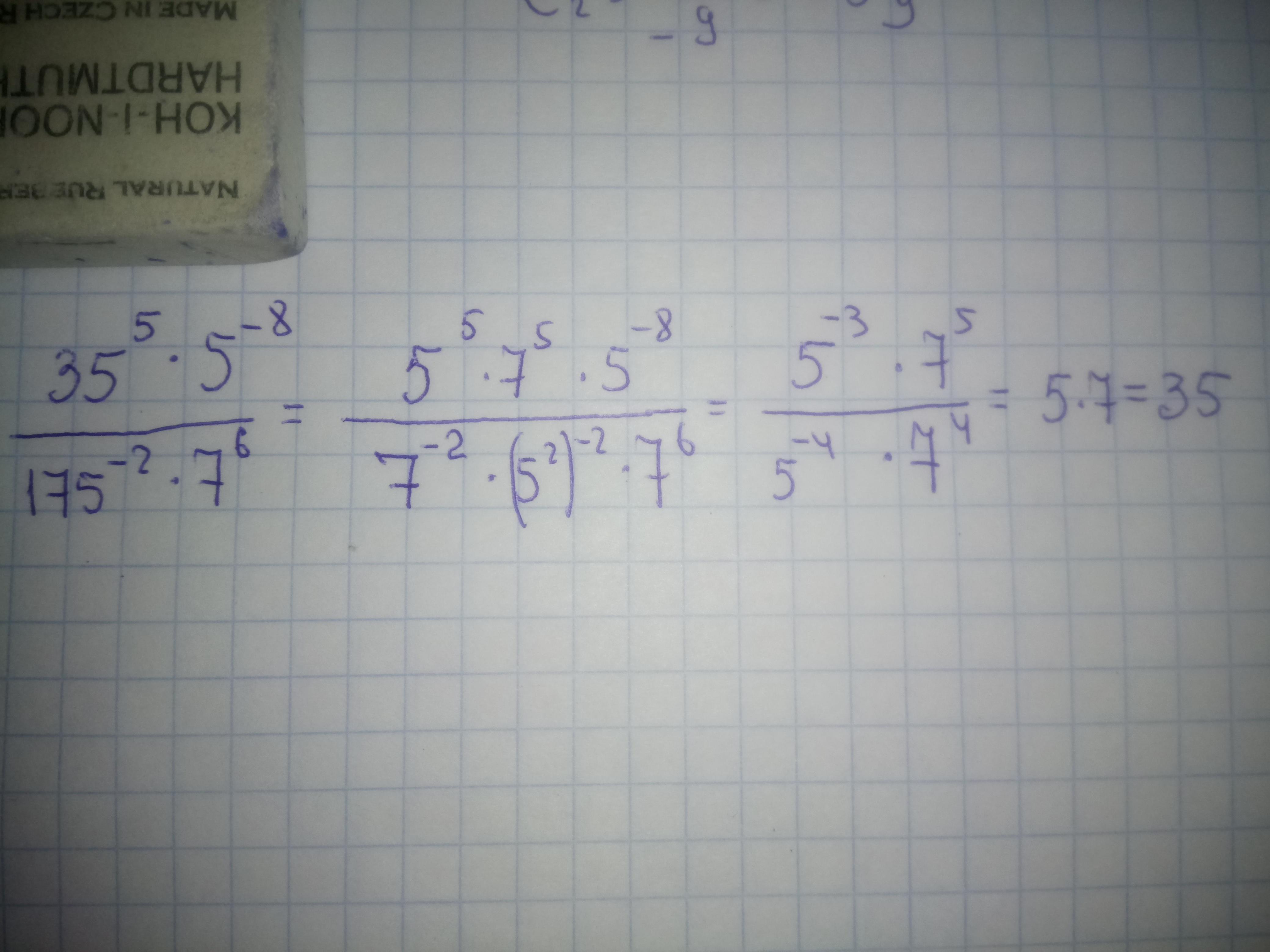
Ответ:
35
Пошаговое объяснение:
ну давай порешаем , для начала для примера я использую вид 35^5 что означает 35 в 5той степени
распишем 35 как 5*7
175 как 5*5*7=(5^2)*7
правила умножения и деления одинаковых чисел с разными(возможно и одинаковыми) степенями :
при умножении степени складываются при делении отнимаются например (x^5)*(x^6)=x^11
((5^5)*(7^5)*(5^-8))/((5^-4)*(7^-2)*(7^6))
осталось только поскладывать и поотнимать степени одинаковых чисел
получим
(5^-3*7^5)/(5^-4*7^4)=5^1*7^1=35
Автор ответа:
1
Відповідь: 35
Покрокове пояснення: фото
Приложения:
Похожие вопросы
Предмет: Литература,
автор: mbarancova10
Предмет: История,
автор: nazarpolivaniy
Предмет: Математика,
автор: soyunova00
Предмет: Геометрия,
автор: PomogitePoGeometrii