Предмет: Алгебра,
автор: chanbaka71
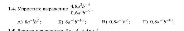
Решите пожалуйста, срочно
Приложения:
Ответы
Автор ответа:
1
Ответ:
А
Объяснение:
см. фото
Приложения:
Автор ответа:
1
ответ А
...................
Похожие вопросы
Предмет: Математика,
автор: gabdulinayulia
Предмет: Литература,
автор: matveyborise
Предмет: Українська мова,
автор: sanyabilyj
Предмет: Математика,
автор: amir87
Предмет: История,
автор: LaraRUS1