Предмет: Алгебра,
автор: Рин1Обито
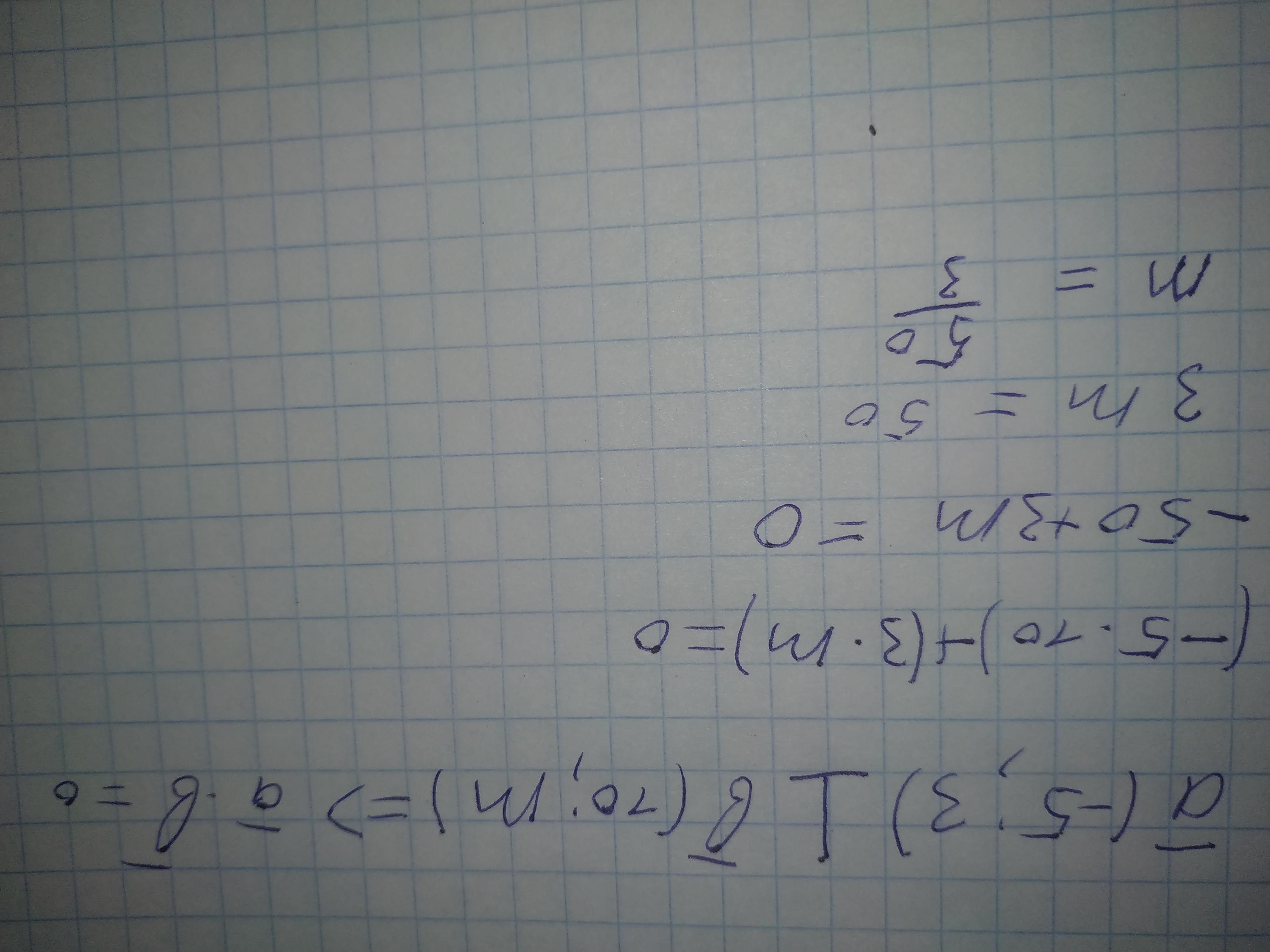
Найдите число m, если известно, что векторы а= ( -5;3) и в =(10, м) перпендикулярны.
Ответы
Автор ответа:
2
Ответ:m=50/3
Объяснение:
Приложения:
Автор ответа:
6
Ответ:
a=(-5;3); b=(10;m)
Векторы а и b перпендикулярны, значит их скалярное произведение равно нулю, т.е. равна нулю сумма произведений соответствующих координат этих векторов, т.е.
-5*10+3m=0
-50+3m=0
3m=50
m=50/3
m=16 2/3
Объяснение:
Похожие вопросы
Предмет: Математика,
автор: williamaftonfazbearp
Предмет: Математика,
автор: Otenkovlad97
Предмет: Математика,
автор: nickvolkov228
Предмет: Физика,
автор: Аноним