Предмет: Алгебра,
автор: dmsdms3381
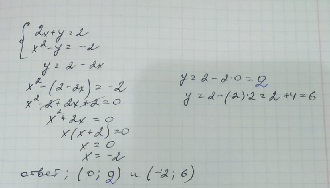
решите систему уравнений
Ответы
Автор ответа:
2
Ответ:
(0;2) и (-2;6)
Объяснение:
решение на фотографии
Приложения:
Похожие вопросы
Предмет: Английский язык,
автор: armienovazaures
Предмет: Русский язык,
автор: antonukyasya
Предмет: Геометрия,
автор: zena99298
Предмет: Физика,
автор: Qwer13579