Предмет: Алгебра,
автор: mariychao
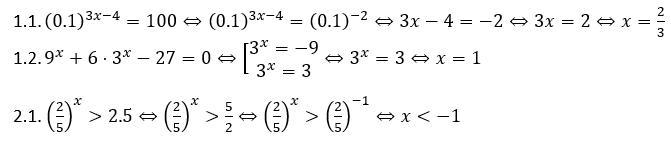
Помогите пожалуйста решить показательные уравнения и неравенства!очень срочно
Приложения:
Ответы
Автор ответа:
1
Главное, привести к одному основанию.
Приложения:
mariychao:
Большое спасибо!!!
Похожие вопросы
Предмет: Українська мова,
автор: aliaroblox14
Предмет: Русский язык,
автор: akbermetturusbekova8
Предмет: Математика,
автор: enter1234
Предмет: Математика,
автор: отличникъ
Предмет: Алгебра,
автор: al19999