Предмет: Математика,
автор: ulia676700
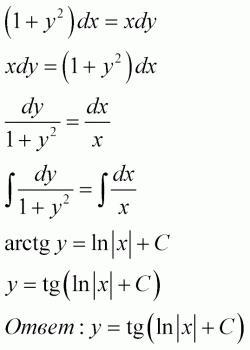
(1+y)dx=2xdy x=1 y=4 РЕШИТЕ ПОЖ
Ответы
Автор ответа:
0
Ответ:
Пошаговое объяснение:
Приложения:
Похожие вопросы
Предмет: Английский язык,
автор: vadimkazatin30
Предмет: Английский язык,
автор: marqarita5a
Предмет: Литература,
автор: Аноним
Предмет: Математика,
автор: светлана250273
Предмет: Физика,
автор: ася584