Предмет: Математика,
автор: Dom1234567
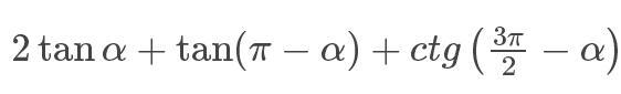
СРОЧНО ПОМОГИТЕ УПРОСИТЬ ВЫРАЖЕНИЕ!
Приложения:
Ответы
Автор ответа:
0
Ответ:
Пошаговое объяснение: формулы приведения!
2tga-tga+tga=2tga
Похожие вопросы
Предмет: Математика,
автор: stacumiller82
Предмет: Українська література,
автор: dmitropelekh11
Предмет: Литература,
автор: askakonfetka2008
Предмет: География,
автор: kausovanasta3
Предмет: Геометрия,
автор: perepelizamax