Предмет: Алгебра,
автор: lilia9926
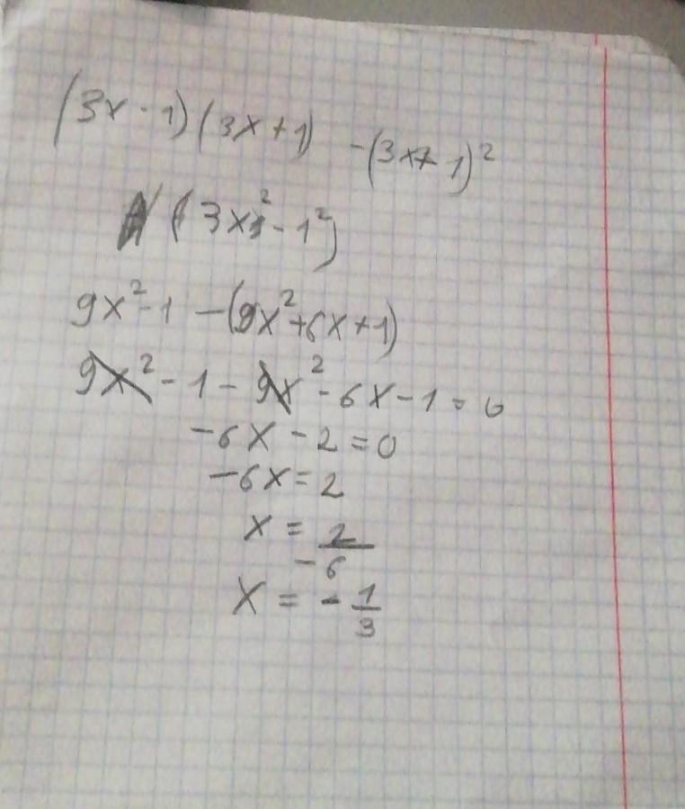
Упростить (3x-1)(3x+1)-(3x+1)^2
Ответы
Автор ответа:
0
Ответ:
(3x+1)*-2
Объяснение:
(3x-1)(3x+1)-(3x+1)^2=(3x-1)(3x+1)-(3x+1)(3x+1)=(3x+1)(3x-1-3x-1)=
=(3x+1)*-2
Автор ответа:
0
Объяснение:
Вродь так но проверь все
Приложения:
Похожие вопросы
Предмет: Биология,
автор: olgalkanaeva
Предмет: Психология,
автор: polinache42
Предмет: Математика,
автор: poliannavintonak
Предмет: Химия,
автор: Mikhailova2708
Предмет: Математика,
автор: Лерусик2004нг