Предмет: Математика,
автор: Timurborovik
Помагите пожалуйста даю 77 баллов!
Приложения:
Ответы
Автор ответа:
0
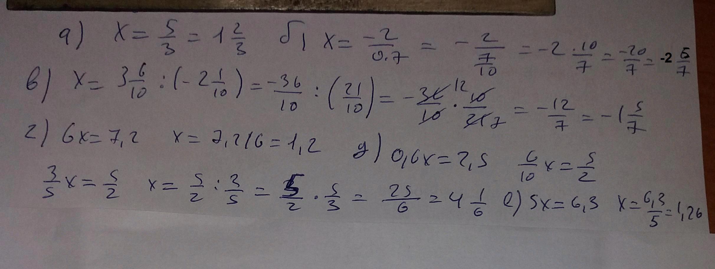
Ответ:
Пошаговое объяснение:
Приложения:
matilda17562:
Уравнение б) решено неверно. Неверно выделена, на мой взгляд, целая часть из неправильной дроби.
исправил, спасибо за замечание
Автор ответа:
2
Ответ:
все во вложении
В примере е) на фото не поместился ответ x=1,26
Приложения:
Похожие вопросы
Предмет: Алгебра,
автор: gusi33
Предмет: Музыка,
автор: dzamysevalmat
Предмет: Литература,
автор: Аноним
Предмет: Математика,
автор: Бушуева2
Предмет: Математика,
автор: Лераgjbg