Предмет: Алгебра,
автор: ManDadovich
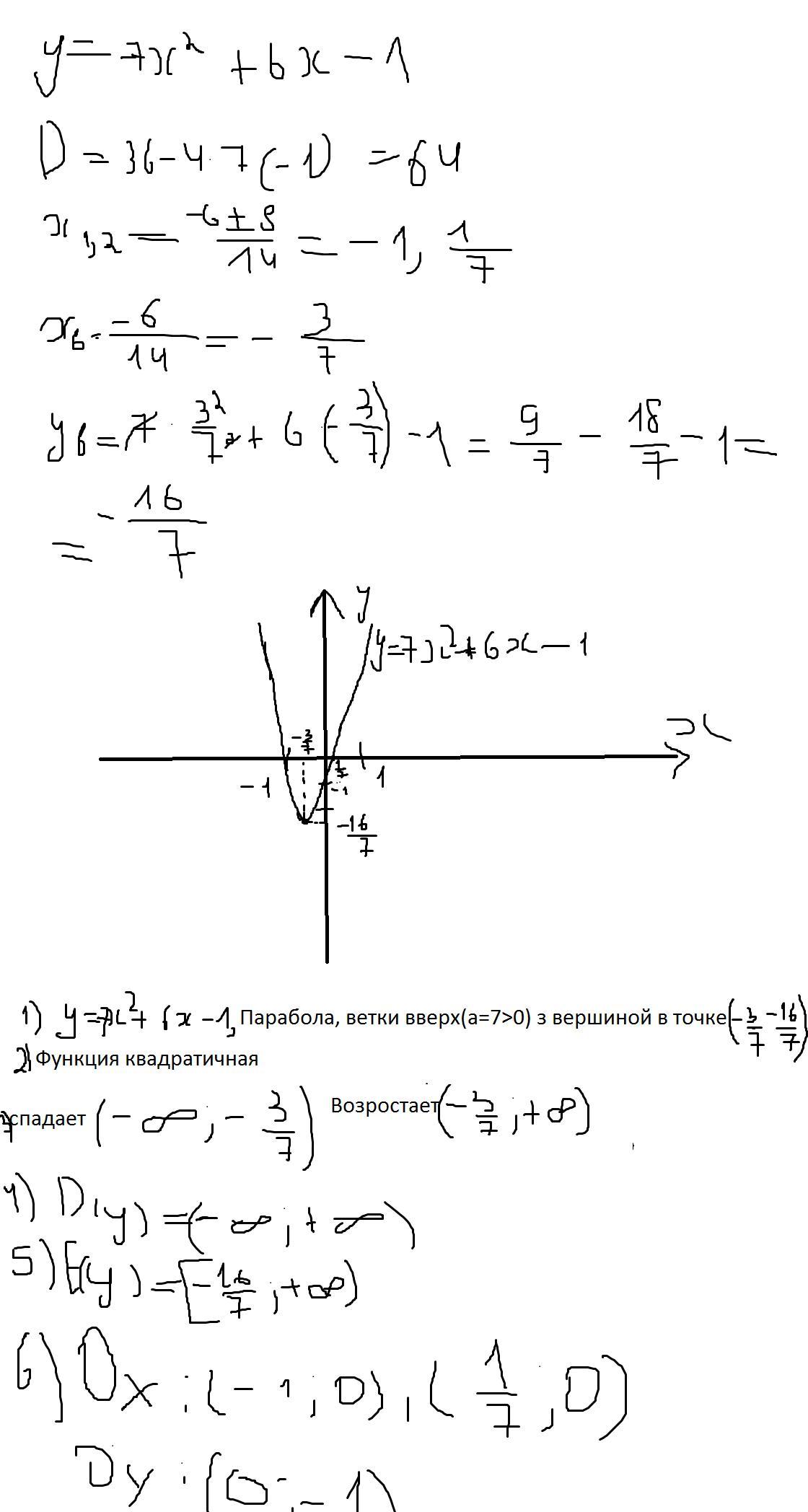
Построить график и перечислить свойства
y=7x^2+6x-1
40балов
Ответы
Автор ответа:
1
Ответ:
Объяснение:
как то так)
Приложения:
Похожие вопросы
Предмет: Алгебра,
автор: gsysygegd
Предмет: Математика,
автор: engelinsuschyk110420
Предмет: Физика,
автор: demidzviagintsev
Предмет: Химия,
автор: vorelover
Предмет: Алгебра,
автор: unicorn9102