Предмет: Математика,
автор: Alexynder19
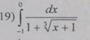
Вычислить определенный интеграл, сделав замену переменной
Приложения:
Ответы
Автор ответа:
1
Ответ:
Пошаговое объяснение:
Приложения:
Похожие вопросы
Предмет: Українська мова,
автор: nastlak1109
Предмет: Алгебра,
автор: marharytaryta11
Предмет: Английский язык,
автор: Qwertpoi
Предмет: Математика,
автор: Adel1onerkhan
Предмет: Алгебра,
автор: Lyuba890