Предмет: Математика,
автор: nastya831210
помогите плииииииииииииз
Приложения:
Ответы
Автор ответа:
1
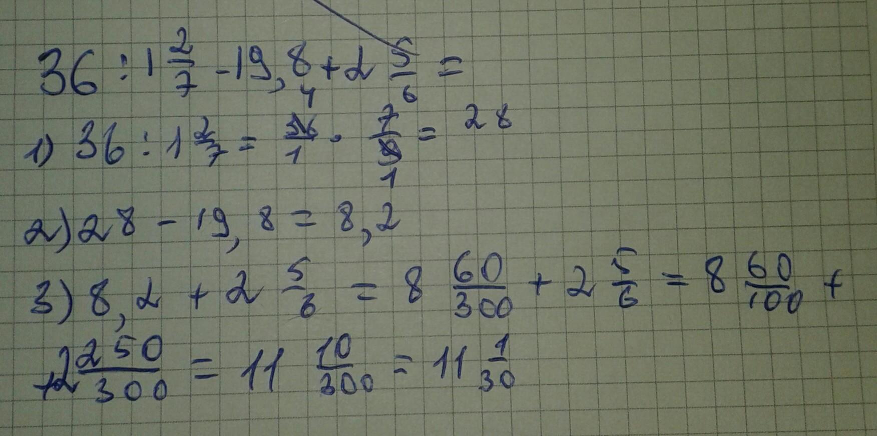
Вот решение
Если помог, то поставь плиз ЛУЧШИЙ ОТВЕТ
Приложения:
Похожие вопросы
Предмет: Обществознание,
автор: golodnizhorzhik
Предмет: Английский язык,
автор: nujoxyox
Предмет: Физика,
автор: nelchigin
Предмет: Обществознание,
автор: альберт76
Предмет: Литература,
автор: Артём881177