Предмет: Алгебра,
автор: Paxannn
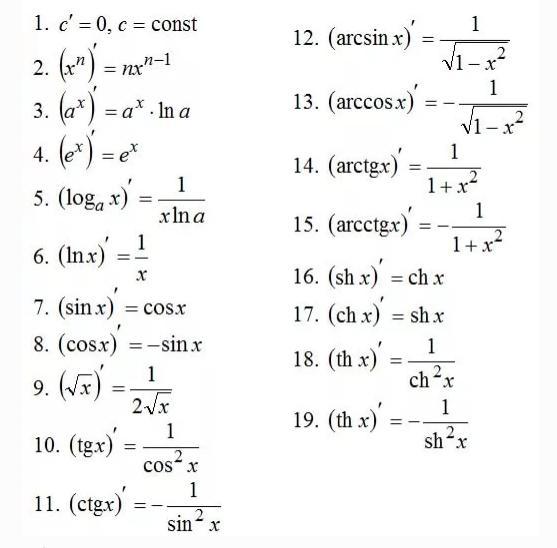
Найдите производную функции y=x^8
Ответы
Автор ответа:
1
Ответ:
Объяснение:
Найдите производную функции y=x^8
y'=8x^7
Приложения:
Paxannn:
Можно решение
Похожие вопросы
Предмет: Физика,
автор: nelchigin
Предмет: Математика,
автор: nadiaprihodko
Предмет: Русский язык,
автор: belkova88
Предмет: Математика,
автор: люда252
Предмет: Литература,
автор: SashaStar123654