Предмет: Алгебра,
автор: Елллизаааветта
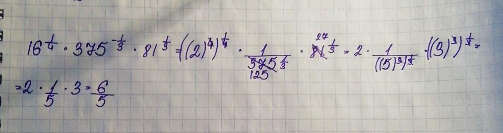
16 в степени 1/4 умножить на 375 в степени -1/3 умножить на 81 в степени 1/3
Ответы
Автор ответа:
0
Приложенный файл должен всё объяснить.
Приложения:
Автор ответа:
1
Ответ:
Всё реешние в приложении
Объяснение:
1)При отрицательной степени, дробь переварачивается
2)16=2⁴
3)375 и 81 делятся на 3
4)125=5³
5)27=3³
Приложения:
Похожие вопросы
Предмет: Литература,
автор: anastacia1401
Предмет: Английский язык,
автор: tartetatin1974
Предмет: География,
автор: cernikovila634
Предмет: Математика,
автор: maria3735