Предмет: Математика, автор: nikmi98

4.Решите уравнение. Помогите пожалуйста!)

Приложения:

Ответы

Автор ответа: mariigorba4eva
10

только 3 задания.....

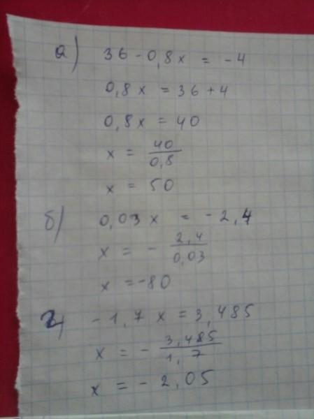
Приложения:
Автор ответа: Maryam2507
5

Ответ:

А) 36-0,8x=-4

0,8x=36-4

0,8x=32

x=32:0,8

x=40

Ответ:40

Б)0,03x=-2,4

x=-2,4:0,03

x=-80

Ответ:-80

В)-0,007x=28

x=28:(-0,007)

x=-4000

Ответ:-4000

Г)-1,7x=3,485

x=3,485:(-1,7)

x=-2,05

Ответ:-2,05

Д)-13:x=-0,2

x=-13:(-0,2)

x=65

Ответ:65

Е)-40:a=-0,8

a=-40:(-0,8)

a=50

Ответ:50

Удачиииии!!!!


Аноним: Привет
Аноним: как ты
Аноним: Марьямм
Аноним: Марьям как ты
Похожие вопросы
Предмет: История, автор: Nichtanfasen
Предмет: Физика, автор: katerinakucherenko20