Предмет: Математика,
автор: КАДЕТОР
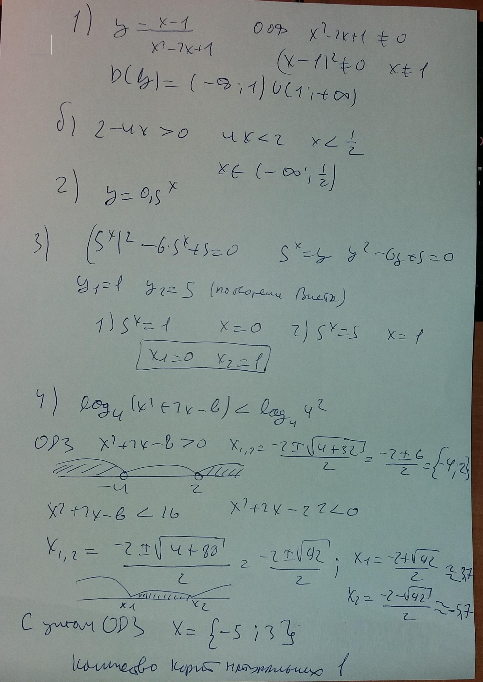
Решите пожалуйста!!! Задания вы можете увидеть на фотографии
Приложения:
Ответы
Автор ответа:
1
Ответ:
Пошаговое объяснение:
Приложения:
КАДЕТОР:
Спасибо
Похожие вопросы
Предмет: Английский язык,
автор: EgorRUS64
Предмет: Математика,
автор: persick003
Предмет: Английский язык,
автор: samaarina1988
Предмет: История,
автор: zajka0312
Предмет: История,
автор: minura2004