Предмет: Математика,
автор: ArhAngel228
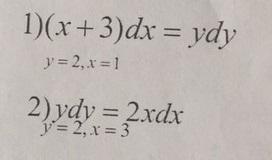
Найти частное решение дифференциального уравнения.
Приложения:
Ответы
Автор ответа:
0
1. х²/2+3х+с=у²/2,подставляем начальные условия, находим с, 1/2+3+с=1/2, с=3, записываем частное решение ДУ х²/2+3х+3=у²/2
2. у²/2=2*х²/2+с, подставляем начальные условия в упрощенное уравнение у²/2=х²+с, 2²/2=3²+с, откуда с=2-9, с=-7
частное решение имеет вид у²/2=х²-7
Похожие вопросы
Предмет: Немецкий язык,
автор: mafioznik1961
Предмет: Геометрия,
автор: ubelanina69
Предмет: История,
автор: allaida555575
Предмет: Математика,
автор: CwertyC