Предмет: Алгебра,
автор: TheStrike666
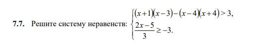
Помогите решить.
Надо ли строить прямую и обозначать на ней промежутки?
Приложения:
Ответы
Автор ответа:
1
Думаю, что аналитического решения вполне достаточно. Упростим первое неравенство и решим его. х²-3х+х-3-х²+16больше 3
х²-х²-2х+16-3-3 больше 0
10-2хбольше 0, х меньше 5
решим второе неравенство.
2х-5больше -9
2хбольше -4
хбольше -2
ответом является x∈[-2;5)
Хотя графически свое решение тоже можно подтвердить. У меня такой возможности, к сожаленью, нет.
Похожие вопросы
Предмет: Алгебра,
автор: dodalena2007
Предмет: Русский язык,
автор: Pazhiloy99
Предмет: Математика,
автор: harafgt
Предмет: Алгебра,
автор: Droppin