Предмет: Алгебра,
автор: Reideen
Сравните значения выражений

и
,
если
, а

Ответы
Автор ответа:
16
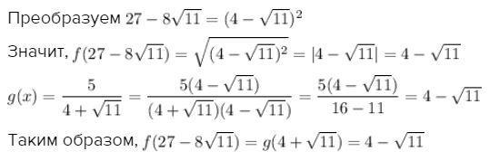
Преобразуем
Значит,
Таким образом,
Приложения:
Похожие вопросы
Предмет: Русский язык,
автор: melnikova4578
Предмет: Английский язык,
автор: lpalappaapwp
Предмет: Математика,
автор: belkaiorehi228
Предмет: Литература,
автор: АнастасияСтолярова
Предмет: Обществознание,
автор: Uyria333