Предмет: Математика,
автор: arina08sh70
Помогите пожалуйста!
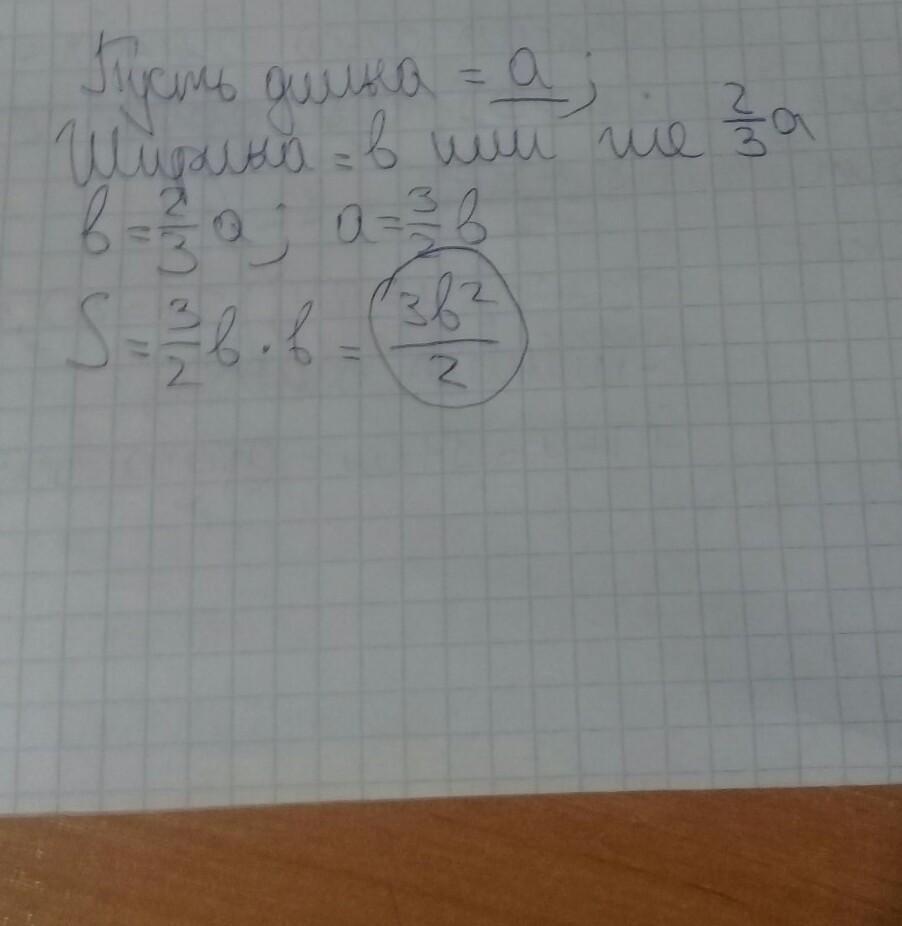
Ширина прямоугольника равна b метров, что составляет 2\3 длины. Какова площадь прямоугольника???
Ответы
Автор ответа:
1
Решение смотри на фото
Приложения:
Похожие вопросы
Предмет: Физика,
автор: mirziyo
Предмет: Алгебра,
автор: nastabredinasta97
Предмет: Физика,
автор: golovkinasofa
Предмет: Алгебра,
автор: turum02
Предмет: Обществознание,
автор: BrooksBoroze5223