Предмет: Алгебра,
автор: Аноним
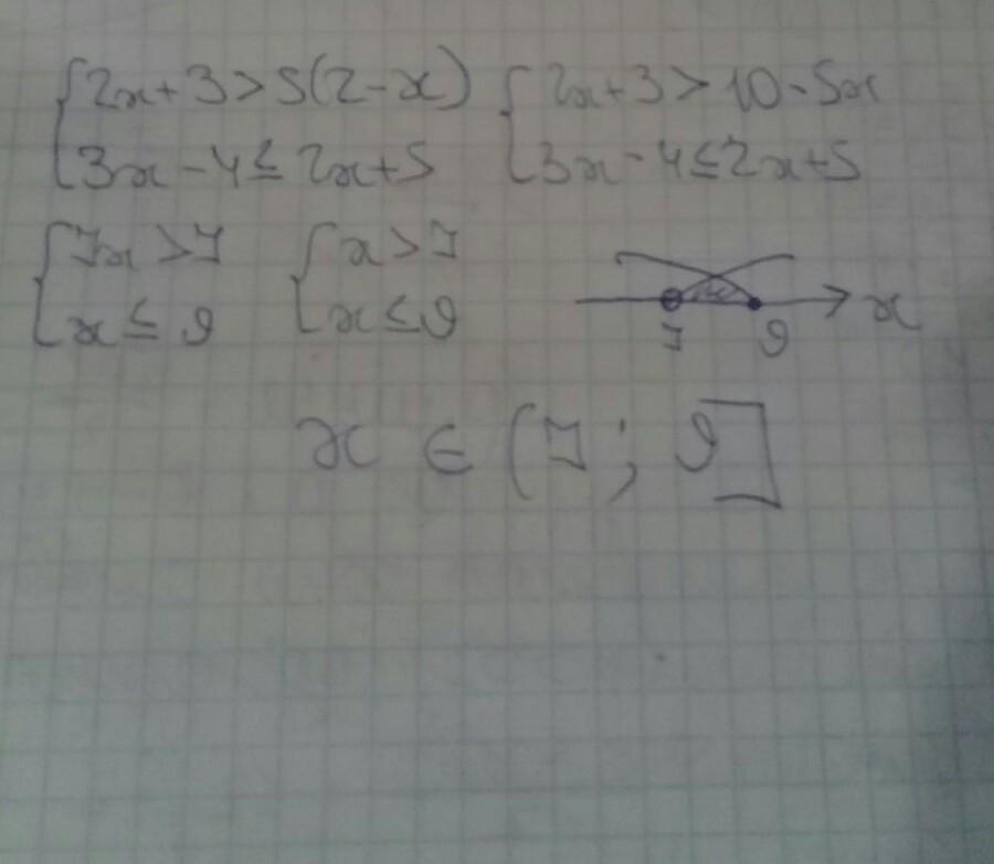
Решите систему неравенств
2x+3>5(2-x)
3x-4≤2x+5
Ответы
Автор ответа:
1
Решение смотри на фото
Приложения:
Похожие вопросы
Предмет: Математика,
автор: nsamin990
Предмет: Окружающий мир,
автор: kkirkirill2010
Предмет: Математика,
автор: renarsklavs02
Предмет: Алгебра,
автор: Tany1234321