Предмет: Алгебра,
автор: mohinuruktamzhonova
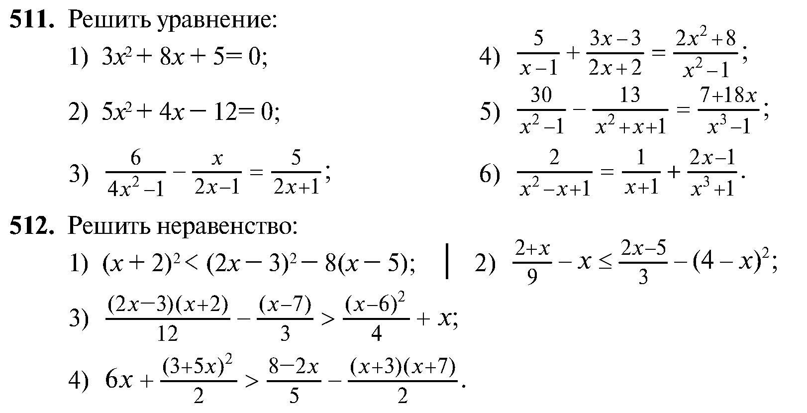
помогите срочно пж дам 50 баллов №511 и 512 8 класс
Приложения:
Ответы
Автор ответа:
0
3x2+8x+5=0
D=64-60=4
x1=(-8-2)/6=-10/6
x2=(-8+2)/6=-1
Похожие вопросы
Предмет: Русский язык,
автор: lbrahimjti
Предмет: География,
автор: romapro2284858088
Предмет: Математика,
автор: ghjop8
Предмет: Математика,
автор: ЮляМяу1
Предмет: Математика,
автор: oksanaogay63