Предмет: Математика,
автор: Pon4ik1488
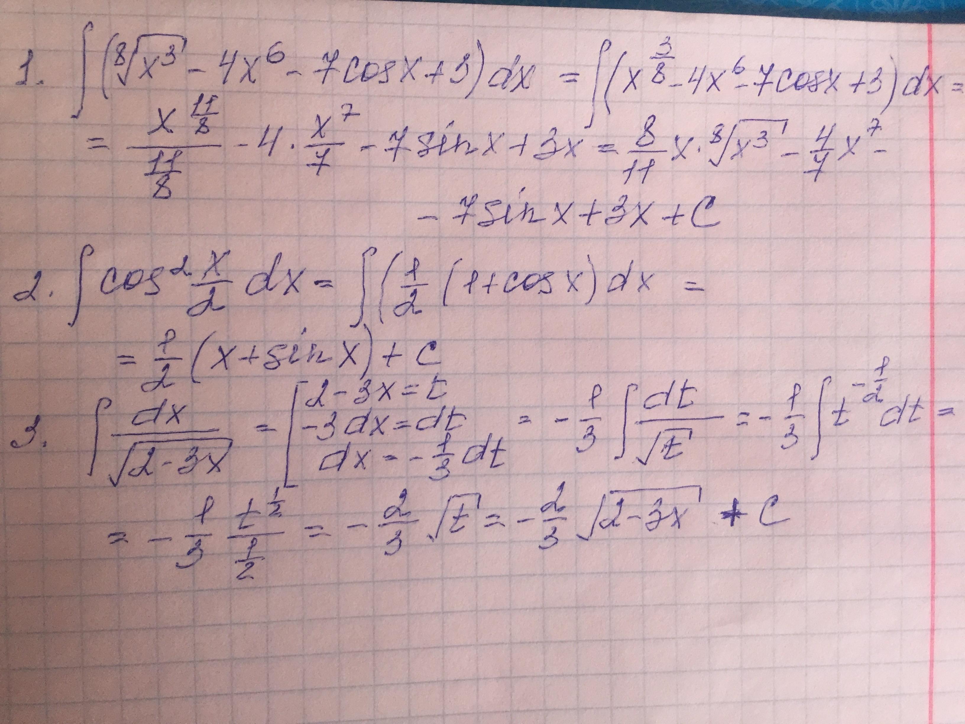
найти неопределённые интегралы
помогите, пж
Приложения:
Ответы
Автор ответа:
1
Ответ:
интеграл===================================
Пошаговое объяснение:
Приложения:
Похожие вопросы
Предмет: Алгебра,
автор: necaevd029
Предмет: Английский язык,
автор: s8r1102f
Предмет: Английский язык,
автор: lieshilieshi228
Предмет: Математика,
автор: незнайка810
Предмет: История,
автор: kazantor