Предмет: Математика,
автор: Lika48910
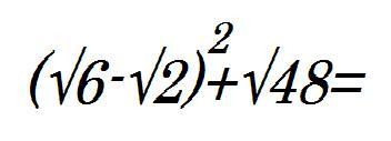
РЕШИИТЕЕЕЕЕЕЕЕЕЕЕЕЕЕЕЕЕЕЕЕЕЕЕЕЕЕЕЕЕ
Приложения:
Ответы
Автор ответа:
1
Объяснение:
используя( a - b)^2 = a^2 - 2 ab + b^2 ,
записываем выражение (√6-√2)^2 в развернутом виде
У нас получается 6 - 2√12 + 2
Далее упрощаем корень √48 это 4√3
Ну и потом опять нужно упростить ,а потом сократить , всё это есть на рисунке ))
Приложения:
Похожие вопросы
Предмет: Информатика,
автор: ididmay
Предмет: Химия,
автор: Anonim344
Предмет: История,
автор: anechkao
Предмет: Обществознание,
автор: ketrinshvimer
Предмет: Биология,
автор: даша1495