Предмет: Математика,
автор: babadook9426gmailcom
помогите пожалуйста...
не игнорьте
Приложения:
Ответы
Автор ответа:
1
Ответ:
1) х = -1
2) х = 2
3) х = 2
4) х = -2,2
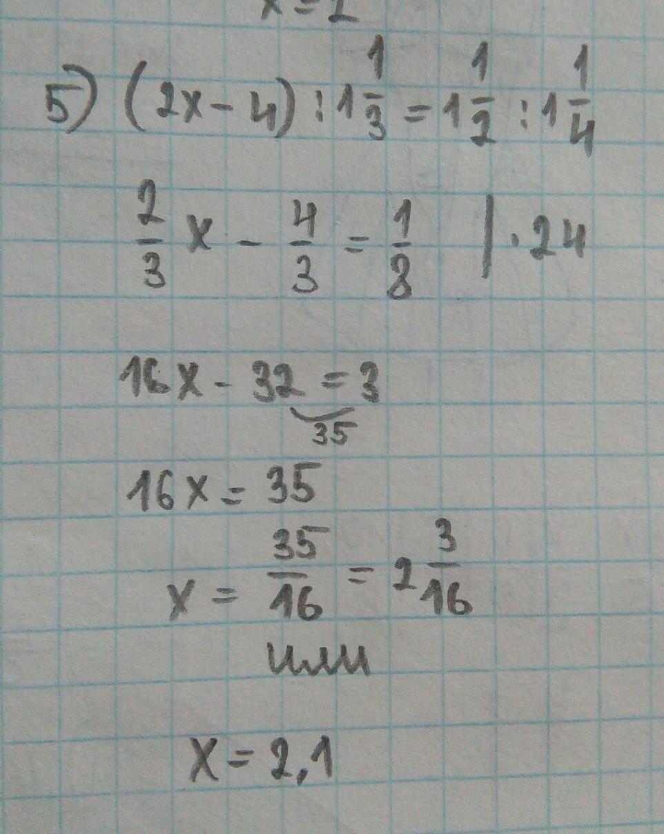
5) х = 2,1
Приложения:
babadook9426gmailcom:
спасибо
пожалуйста
Похожие вопросы
Предмет: Английский язык,
автор: Алиса7021777
Предмет: Биология,
автор: ridetliner
Предмет: Математика,
автор: Аноним
Предмет: Биология,
автор: aleksandrast1271